最新公告:

今天企业将一如既往地以:信誉第一、质量第一、服务第一的原则。的诚信、实力和产品质量获得业界的认可。热忱欢迎新老客戶携手合作,共同发展。 亲的支持是我们成长发展的基石、提供优质服务的动力。12.我们忙碌了一天

今天企业将一如既往地以:信誉第一、质量第一、服务第一的原则。的诚信、实力和产品质量获得业界的认可。热忱欢迎新老客戶携手合作,共同发展。 亲的支持是我们成长发展的基石、提供优质服务的动力。12.我们忙碌了一天

新闻中心

当前位置:首页 >> 新闻资讯 >> 行业新闻

袋式除尘器废旧滤袋如何处置

2015年11月04日字体:
分享到:
袋式除尘器废旧滤袋如何处置

    袋式除尘器至今已有百余年的历史,其最大的优点就是除尘效率可高达99.99%以上,排放浓度可达到10mg/m3

以下,其分级效率也很高,对2.5μm以下的微细颗粒物也有很好的捕集效率,因此得到广泛的应用。袋式除尘器

在其运行的同时,也会产生大量破损的废、旧滤袋,但由于这些滤袋多数是合成化纤原料制造,生物降解性差,

在自然界中难以被降解;又由于目前没有有效的处置方法,随意堆放后又成为了新的污染源。因此,如何有效处置

破损的废旧滤袋已成为当前迫切需要解决的问题。


1、国内滤袋市场现状

    国内早期的袋式除尘器使用的滤袋为普通的工业机织布,个别高端应用场合采用工业呢,1974年武汉冶金安

全研究所研制了208工业涤纶布,得到了广泛的应用,直到现在仍有一些场合在使用。20世纪80年代初,东北大学

与抚顺第三毛纺厂共同研发了针刺毡非织造滤料,由传统的织造滤料走向非织造滤料,实现了滤料革命性的转变

开始了滤料国产化的进程。与织造滤料相比,非机织造滤料生产流程短、生产效率高、自动化程度高、产品价格

低,可广泛应用于各种除尘场合。

    滤料的性能依赖于纤维的特性,在产生工艺变更的同时,纤维的种类也在快速发展。从早期的天然纤维、涤

纶纤维、玻纤滤料,到NOMEX、PPS、PTFE等合成纤维,目前NOMEX、PPS、PTFE等纤维都已实现国产化,P84纤维、

垃圾焚烧用同步除尘去除二英滤料也正在研制中。

    在滤料品种不断创新的同时,滤料的产量也在飞速发展。1985—2008年国内滤料产量情况见表1。

            


    从表1可以看出,从1985年到2005年的20年间,我国的滤料产量增长了23倍以上,进入21世纪以来,滤料的发

展速度更快,从2005年到2008年仅仅3年的时间里,滤料的产量几乎翻了一番。2008年我国年产量150万米以上滤

料企业就有15家,另有外资企业5家,其中年产量超过500万米的大型企业2家。预计2010年国内的滤料产量可达到

9000万米以上。从中可以看出,每年淘汰下来以及历年积累的破损的废旧滤袋的数量也是天文数字。


2、破损废旧滤袋处置方法

  2.1 回炉熔化重新拉丝

    将破损的废旧滤袋回收、清洗后重新回炉熔化、拉丝;重新制成纤维,循环使用。这是解决破损的废旧滤袋的

最佳方法。但在实际操作中则是难以实现,因为存在以下问题:


  2.1.1 收集、运输问题

    历年积累的破损废旧滤袋,数量巨大,这些滤袋分布在全国各地,而且在损坏时间不确定的情况下,要想将

其全部收集起来统一处理是很难做到的;其次,由于废旧滤袋的表面附着大量粉尘,因此在运输中,尤其是在长途

运输过程中难以保证粉尘不四处飞逸,成为流动污染源而污染周围环境。


  2.1.2 清洗问题

    对破损的废旧滤袋的清洗是非常麻烦、棘手的问题。由于废旧滤袋表面黏有大量粉尘,而这些粉尘成分复杂

(如垃圾焚烧等行业所用的滤袋,表面含有重金属、二英等有毒、有害、腐蚀性物质),在清洗废旧滤袋时就会产

生大量的污水和污泥。而且这些含有重金属、二英等有毒、有害、腐蚀性物质的污泥属于危险化学品,而危险化

学品的处置则要复杂得多。这使得废旧滤袋的清洗也变得复杂起来。


  2.1.3 废旧滤袋纤维成分复杂

    早期的滤袋主要采用天然纤维:如棉、麻及动物纤维等,结构简单、成分单一。而目前所用滤袋基本上是采

用二种或二种以上的合成纤维混合纺制而成(有的表面还采用了覆膜)。如梯度滤料,其由外而内的结构为:表层:

超细纤维;基层:细纤维;骨架:基布后表层粗纤维层。P84+PPS梯度纤维复合滤料就属于此类结构。由于玻纤纤维

滤料的价格较低,采用PTFE、PPS纤维+玻纤纤维(基布)制成梯度结构,能有效地降低滤料价格,提高过滤性能和

清灰性能;PTFE和PPS细纤维作为滤料迎风面层能有效捕集粉尘粒子,对微小粒子也有较好的捕集效果;清灰效果更

好;底层基布主要用于支撑和抵抗骨架摩擦腐蚀。因此,梯度滤料对微小粒子的捕集能力明显高于普通滤料。

    目前,除了个别厂家为了降低生产成本,以次充好外,大部分滤料基本都是采用两种或两种以上的合成纤维

混合纺制而成的。为了提高滤料的性能及加工工艺的需求,例如针刺毡滤料加工工艺的关键是纤维的均匀度,而

均匀度的好坏关键在于开松、梳理两道工序。由于针刺毡生产工艺流程较短,均匀度很难控制。因此,有时为了

便于加工也要向纤维中混入其它纤维,以保证其均匀度。如PTFE纤维,由于其纤维介电常数非常大,开松、梳理

时产生很大静电,造成加工时难以开松、梳理。而加入5%的涤纶后,其开松、梳理的性能得到极大的提高,加工

也变得容易了。

    综上所述,由于现代滤料是多种纤维混合纺制而成的。所以,当清洗完的废旧滤袋重新回炉熔化、拉丝时又

面临以下难以解决的问题:1)熔化温度如何确定,因为各种纤维的熔化温度是不同的;
                      
                        2)重新拉出的丝的材质是不确定的;
 
                        3)重新拉出的新丝的各项理化性能如何保证。


  2.1.4 原废旧滤袋纤维成分发生化学变化

    袋式除尘器烟气成分复杂,使用环境恶劣,经过长期使用后的滤袋材质的化学成分也都发生了化学变化。造

成滤袋材质发生化学变化的主要原因有:

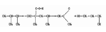
(1) 氧化

    氧化是滤袋损坏的主要因素之一。纤维氧化是纤维中分子失去(或离解)电子的过程,这一反应会使纤维中元

素的氧原子增加。在常用的纤维中易被氧化的主要是聚合类化合物,如聚丙烯、聚苯硫醚等。氧化反应原理如下:

                        

    从上式可见,氧化后纤维的大分子链被击碎,变成小分子结构。分子结构发生了变化,纤维性能也发生了变

化。又如聚苯硫醚(PPS)纤维,其分子式为:

                                          

    其分子主链由苯环在对位上连接硫原子而形成大分子主键,其结构中至少有85%的硫醚键(-S-)是直接结合在

两个芳香族环之中。在高温(150℃)条件下,即氧分子攻击分子中的"-S-"鍵,并与之结合,生成SOx。使大分子

链被击碎,变成小分子结构。由于苯环提供PPS纤维以刚性,而硫醚则提供PPS纤维以柔顺性。因此,当烟气中的

氧或氧化剂与PPS纤维中的-S-结合生成SOx,造成PPS纤维变色、变硬、变脆,强度降低而破损,严重时纤网会破

碎而脱离基布(见图1)


                            


(2) 水解

    水解即缩合的逆反应。纤维水解是由于水分子介入到纤维中而使高分子分解为二的反应,母体分子的一个部

分从水分子中获取了一个氢离子(H+),而另一个基团则从水分子中聚集了羟基(OH-),使其分子链断裂生成新的

小分子物质的过程。由于分子量变小,纤维抗拉强度减弱而损坏。所以缩聚型聚合体生产的合成纤维是不耐水解

的。如常用的聚酯类、聚丙烯、诺梅克斯等滤料很容易发生水解。聚酯类纤维与诺美克斯纤维水解式如下:


              


    水解会破坏聚合物的主要结构,使纤维分子变小。烟气中水分子含量和温度越高,滤袋水解越严重。不同的

滤料其水解温度也不相同。其中P84是目前所用滤袋中抗水解性较差的一种,水解后,滤袋强度严重下降,易破损,

缝纫线发生水解后,滤袋从缝纫线处开裂,使滤袋不再是筒状而成为一块布(见图2)。

                          

(3) 酸、碱性腐蚀

    腐蚀是滤袋损坏最常见的原因之一。烟气中含有多种腐蚀性物质,在高温环境下的腐蚀作用更大,从而会造

成滤袋损坏。

    滤袋被腐蚀的主要原因是烟气中含有酸、碱性成分,随着这些化学物质浓度的变化而造成露点的改变,如除

尘器开机或停机在露点以下时,废气中的SO2遇水就会形成H2SO3,造成滤袋纤维发生炭化、原分子链结构遭到损

坏,生成小分子化合物。

    滤袋被腐蚀损坏的痕迹多为放射状,并在滤袋表面形成大面积变色,造成滤袋变硬、变脆和出现少量不规则

的洞,用肉眼可分辨出来。图3为河南某氧化镁厂氯化工段被腐蚀的滤袋,由于该厂烟气中的HCl含量非常高,PT

FE滤袋平均使用寿命不到3个月就被腐蚀得千疮百孔无法继续使用。所以,如果在此条件下进行脉冲清袋,将会加

速滤袋的损坏。

                

(4) 纤维高温降解

    由于多数滤袋是在高温下工作的,因此,高温会造成滤袋纤维玻璃态化,使滤袋纤维发生降解变化,造成纤

维大分子链断裂。从外表上看,高温造成滤袋收缩变形、变硬,滤袋紧紧箍在骨架上,甚至无法抽出滤袋中的骨

架,从而在滤袋内表面形成深深的痕迹(如图4所示),并使得滤袋纤维玻璃化变得极其脆弱,强度降低。图5为广

州某垃圾焚烧厂除尘器的滤袋,滤袋材质为PPS纤维,高温使得PPS纤维变得极其脆弱,强度降低,轻轻一拉,就

会撕开一条长长的口子。

                           

  2.1.5 经济性

    综上所述,由于废旧滤袋存在收集、运输、清洗、二次污染和处置费用高的问题,同时还存在加热熔化重新

拉丝的困难以及新拉出的纤维丝性能及价格等难以确定的问题,因此废旧滤袋的回收从经济性上看,是费时费力

且很难做到的,没有经济效益。


  2.2 焚烧

    焚烧是实现废旧滤袋减量化、无害化的有效手段,也是目前解决破损、废旧滤袋最有效的方法之一。虽然在

焚烧过程中也存在二次污染的可能,但焚烧后可以实现减量化、减容化和稳定化。废旧滤袋焚烧后有机合成纤维

会变成CO2和H2O等气体,而玻纤滤袋经高温焚烧后纤维会变成SiO2等,从而实现无害化。


  2.3 填埋

    填埋是解决废旧滤袋最简单实用的方法,也是目前应用最多的方法。


  2.4 其它用途

    国内外目前还没有废旧滤袋在其它方面得到应用的报道,但据悉也有人将废旧滤袋清洗后用在围拦上,圈养

牲畜。由此可联想,如将废旧滤袋作为底布用在栽种草坪上,则可替代目前草坪栽种所用的底布,也是较好的用

途,但要防止其对地下水的污染。


3、小结

(1)由于滤袋采用化纤合成原料,其生物降解性差。废弃滤袋在自然界中难以被生物降解,又会成为新的污染源;

(2)焚烧是目前处理废旧滤袋的较好办法;

(3)收集、运输、清洗、烘干、熔化等过程困难,是废旧滤袋难以回收的关健所在;

(4)经济性也是废旧滤袋难以回收的主要问题之一;

(5)废旧滤袋最理想的处置方式是收集后,熔化拉丝,重复利用,但在目前的技术条件下难以实现;

(6)废旧滤袋用在栽种草坪时要防止污染地下水;

(7)填埋是目前处置废旧滤袋最简单实用的方法,也是应用最多的方法。


联系我们

地址:辽宁省抚顺市顺城区新城4路9号

电话:024-57680233

邮编:110000

邮箱:68165959@qq.com